Đề Thi Minh Họa THPT Quốc Gia Môn Toán Lần 3 Năm 2017| Có Đáp Án Chi Tiết
Chiều ngày chủ nhật ngày 14/05/2017 vào lúc 15h bộ giáo dục và đào tạo đã công bố chính thức đề thi minh họa lần 3 của tất cả các môn thi THPT Quốc Gia Năn 2017. Trong bộ đề lần này, thì môn toán có 50 câu hỏi trắc nghiệm. Chỉ còn một thời gian ngắn nữa là kỳ thi THPT Quốc Gia 2017 sẽ sắp diễn ra. Trong giai đoạn này, các bạn học sinh cần phải cẩn thận ôn luyện và không được lơ là. Cùng trung tâm gia sư tại tphcm tham khảo đề thi và đáp án chi tiết THPT Quốc Gia Môn Toán lần 3 Năm 2017.






Xem Video lời giải chi tiết tại đây
Đáp án chi tiết Đề Minh Hoạ Lần 3 Bộ Giáo Dục Đào Tạo năm 2017. Hôm nay, Bộ Giáo Dục đào tạo đã công bố đề thi minh hoạ tất cả các môn. Trong đó môn Toán đã được Blog Toán đăng tải trên website.
Blog Toán xin tiếp tục chia sẻ đáp án chi tiết đề minh hoạ lần 3. Đáp án do các thầy cô nhóm Toán giải. Rất cảm ơn các thầy cô. Huỳnh Quang Nhật Minh, Thảo Nguyễn, Vũ Viên (VCV), Nguyễn Hoàng Kim Sang, Phan Trần Vương Vũ, Đinh Công Minh, Lê Gia, Lê Văn Hoàn, Nguyễn Thị Ngọc Dung, Huỳnh Minh Sơn, Phan Thảo Linh, Lĩnh Nguyễn, Lê Văn Luân, Võ Ngọc Cương.
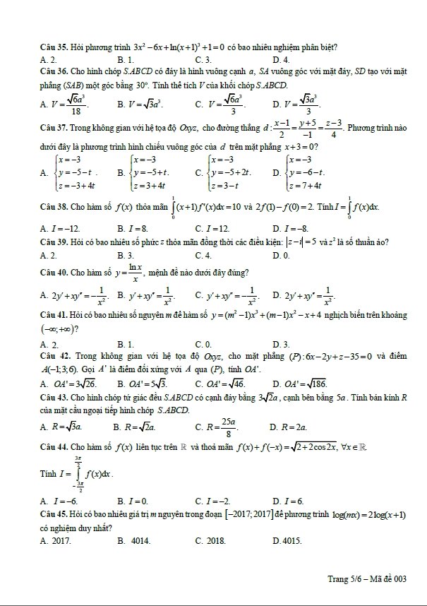
Một số câu trong Đáp án chi tiết đề minh hoạ lần 3 Bộ Giáo Dục:
Câu 17. Trong không gian với hệ tọa độ Oxyz, cho các điểm A(3,-4,0) , B(-1,1,3) và C(3,1,0). Tìm toạ độ điểm D trên trục hoành sao cho AD = BC.
Câu 21: Gọi S là diện tích hình phẳng (H) giới hạn bởi các đường y=f(x), trục hoành và hai đường thẳng x=-1,x=2. Mệnh đề nào sau đây đúng.
Câu 23. Đường cong trong hình vẽ bên là đồ thị của một hàm số trong bốn hàm số được liệt kê ở bốn phương án A,B,C,D dưới đây. Đó là hàm số nào.
Câu 25. Trên mặt phẳng tọa độ, điểmM là điểm biểu diễn của số phức z như hình vẽ bên. Điểm nào trong hình vẽ là điểm biểu diễn của số phức 2z.
Câu 42. Trong không gian với hệ tọa độ Oxyz, cho mặt phẳng (P): 6x – 2y + z – 35 = 0. Điểm A(-1,3,6). Gọi A’ là điểm đối xứng A qua (P). Tính OA’.

Nguồn: https://giasutriviet.edu.vn/de-thi-minh-hoa-thpt-qg-mon-toan-lan-3.html
